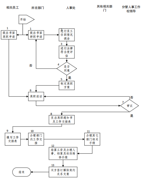
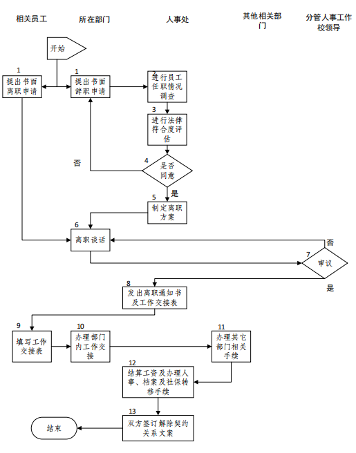
离职管理流程图

来源:人事处 责编: 胡燕 作者: 李菁蔓 发布时间:2021-12-15 浏览量:3600