喜讯!美术学院师生于第五届“笔墨中国”汉字书写大赛中斩获佳绩

来源:美术学院书法学教研室 责编: 孟丹 作者: 孟丹 发布时间:2023-11-01 浏览量:3135

为贯彻落实中共中央办公厅、国务院办公厅《关于实施中华优秀传统文化传承发展工程的意见》和全国语言文字会议精神,全面深入实施中华经典诵读工程,广西壮族自治区组织自治区语委、自治区教育厅组织举办了第五届“笔墨中国”汉字书写大赛,以传承弘扬中华优秀传统文化,激发社会大众对汉字书写的兴趣,提高规范使用汉字的意识和能力。

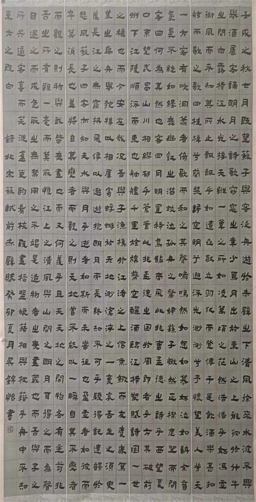
在第五届“笔墨中国”汉字书写大赛中,美术学院书法学专业教师常锦文荣获毛笔类教师组三等奖,书法学2022级学生吴锦怡荣获毛笔类大学组优秀奖。

美术学院书法学专业践行赛教融合的教学理念,鼓励师生参与各级别、各类型的相关专业比赛与展览,旨在从中拓展创作思维、汲取专业多样性,从而进一步指导书法艺术专业创作。

常锦文作品《柳州山水近治可游者记》

 

吴锦怡作品《前赤壁赋》